1.2 State Values and Bellman Equation (Vector form 与 求解)
Contents
矩阵向量形式
本节接State Values and Bellman Equation 1, 请将上节的前置知识看完再看本节
完整公式为:
这里的未知量有2个,\(v_{\pi}(s)\)和\(v_{\pi}(s’)\). 一个式子是没法求出2个未知量的,但是因为对每一个状态都有一个式子,因此可以通过联立求得每一个状态的状态值。
将这个式子重新表达下如下:
其中,
重写的式子更有直观性,可理解为当下状态的状态值为当下reward与下个状态的reward的和。
将每个状态都标上下标,可写作:
这个式子可进一步写成矩阵向量形式:
其中,各个字母意义如下:
举个例子,如果有4个状态,那它的矩阵向量形式可写为:
举例说明1
对于下图的例子
它的矩阵形式可表达为:
举例说明2
对于上面的例子,它的矩阵形式为:
如何求解
为何要求?因为求每个状态的state value是为了评价一个策略的好坏的。只有能够评价一个策略的好坏,才能够找到最优策略,因此状态值其实是强化学习的一个基本问题,而贝尔曼公式即是解决方法之一
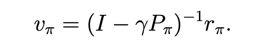
直接法
对于矩阵形式
可以通过矩阵求解法,直接获得
迭代法
当矩阵大的时候,求逆操作代价大,因此迭代法更加通用。
如上式,在初始时刻,对每一个状态的state value随机赋一个初始值。
然后将初始值代入右侧,便可得到左侧的下一次迭代的新state value。
再将新获得的state value 代入右侧,如此往复,最可获得近似最终的状态值。
迭代法为何可求得最终的state value呢?proof 过程请付费收听。
文若可采,幸赐清茗一盏,以助笔耕不辍